Index

ABSTRACT

The article deals with the kinetics of phase interaction during secondary cast iron melting in cupolas and electric furnaces. The calculation of mass transfer according to the equations of electrochemical kinetics is possible only for individual cases. As the task of secondary melting of cast iron is to achieve a certain composition of cast iron, it is advisable to program complex mass transfer processes in the form of a generalized function, including the transport coefficients and the driving force of mass transfer. It is proposed to introduce the notion of the visible mass transfer coefficient (k^v), which is the density of the mass flow of an element related to one percent of the element's concentration in cast iron. The interaction of phases in devices for secondary cast iron melting is analyzed according to the laws and periods of melting. A mathematical model of mass transfer during secondary cast iron melting has been developed. Studies were conducted using a laboratory gas cupola and a 700 kg/h gas cupola, and quantitative characteristics of mass transfer have been established

Keywords: Secondary cast iron melting, Kinetics of phase interaction, Mass transfer during melting, Mathematical model of mass transfer.

DOI: DOI: 10.20448/812.3.1.11.29

Citation Grachev V.A. (2018). Kinetics of Phase Interaction During Secondary Cast Iron Melting. American Journal of Chemistry, 3(1): 11-29.

Copyright: This work is licensed under a Creative Commons Attribution 3.0 License

Funding : This study received no specific financial support.

Competing Interests: The author declares that there are no conflicts of interests regarding the publication of this paper.

History : Received: 13 February 2018 Revised: 2 March 2018 / Accepted: 5 March 2018/ Published: 6 March 2018 .

Publisher: Online Science Publishing

1. INTRODUCTION

1.1. Theoretical Background

The kinetics of heterogeneous reactions between metal, slag and gas in devices of secondary cast iron melting has not been studied sufficiently and is rather complicated (Grachev, 2016 ). Mass transfer is interpreted by analogy with the theory of heat transfer. In this case, the mass flux density of the i-th component (mi) in molecular diffusion is treated by analogy with the Fourier law in the form of the following formulation of Fick’s law:

The rate of convective and molecular diffusion and mass transfer in the boundary layer does not usually coincide with the speed of the chemical act itself and the adsorption phenomena accompanying it. The analogy with heat transfer is only partial, but there is a tendency to bring the analogy to the full expression of the mass transfer coefficient. Thus, the total mass transfer coefficient for stationary diffusion in two layers is expressed by the formula:

In this case, we are only dealing with diffusion and it is more correctly to call β the coefficient

of mass conductivity by analogy with the theory of heat transfer (D/n).

The mass transfer coefficient (k) is proposed (Wagner, 1936 ) to be interpreted as follows:

Studies of mass transfer in various metallurgical processes continue to this day (Bechetti et al., 2014 ). They rely on the fundamental works of Rostovtsev (1969 ); Karabasov and Chizhikova (1986 ); Yesin and Toporishchev (1971 ), Thonstad and Hove (1964 ); Kronenberg (1969 ); Swalin (1959 ); Morse (1929 ); Nagasaka et al. (1985 ) etc.

These days they are presented in the proceedings of the 5th and 6th International Congress on Advances in Materials Technology (Sarver and Tanzosh, 2008 ; Blum and Bugge, 2011 ) of the European Symposium on Superalloys and Their Applications (Speicher et al., 2010 ) the 33rd and 34th International Technical Conference (Gagliano et al., 2008;2009 ). There are works on kinetics in alloys (Lippold et al., 2011 ) etc.

The calculation of mass transfer according to electrochemical kinetic equations is possible only for the simplest cases, because the determination of surface concentrations, as well as other quantities included in the formulas, is very difficult.

1.2. Relevance

The kinetics of phase interaction processes is of great practical importance, since the composition of the resulting alloy is the result of mass exchange and, if it is impossible to predict, then there are certain difficulties in obtaining an alloy of the required composition.

Since the task of cast iron melting is to achieve a certain composition of cast iron, it is advisable to program complex mass transfer processes in the form of a generalized function that includes the transport coefficients and the driving force of mass transfer. Such a task for melting casting alloys has not been solved yet and is topical.

Cast iron melting in the foundry is performed in cupola and electric furnaces, and it is necessary to develop a mathematical model of mass transfer for these methods of melting, that is, for the so-called secondary cast iron smelting.

1.3. Purpose and Objectives of the Study

The purpose of the work is to develop a methodology for calculating the processes of mass transfer during cast iron melting.

1.4. Objectives of the Study

  1. To propose a universal quantitative criterion or coefficient describing mass transfer over zones and periods of cast iron melting in various melting units.
  2. To propose a mathematical model of mass transfer in secondary cast iron melting units.
  3. To investigate mass transfer in gas-fired melting units – gas cupolas.

2. RESEARCH METHODOLOGY

The creation of a mathematical model of mass transfer with the proposed generalized criterion was carried out for specific zones and periods of melting (Figure 1). The zones and periods of melting for coke cupola, gas cupola and electric furnace were considered separately. Each melting unit and each zone is characterized by its own mass transfer modes: periodicity or continuity, a combination of reactive phases, etc.

Figure-1. Analysis of mass transfer by zones and periods of melting

Source: Grachev (2016 )

Figure-2. Laboratory gas cupola with a capacity of 20 kg/h

Source: Grachev (2016 )

The mass transfer was studied in experimental gas cupola shown in Figure 2, and in experimental gas cupola with a refractory nozzle with a capacity of 700 kg/h. The temperature was measured using platinum/rhodium to platinum thermocouples (t1, t2, t3).

700 kg/h capacity gas cupola has a similar construction. It is installed in the melting department of the Core Laboratory of the plant in Penza, Russia.

In the laboratory gas cupola, a special hole was made in the lower part of the shaft for metal sampling. Thus, it was possible to "separate" the loss in the heating and melting zone from the loss in the overheating zone. Constructionally, it is difficult to ensure sampling clearly after each zone, so the experimental material is supplemented with the calculated data.

At the gas cupola with a heterogeneous nozzle, sampling was also carried out from the shaft and fore-hearth.

3. RESULTS AND DISCUSSION

To describe the processes of mass transfer in melting furnaces, the author has proposed to introduce the notion of the visible mass transfer coefficient (kv); it is the density of the mass flow of an element attributed to one percent of the element's concentration in cast iron. The coefficient is measured as kg/m2·s·pc (pc is percentage of concentration, introduced in the mass transfer coefficient kv due to the fact that in practical calculations this value is used to characterize the composition of cast iron).

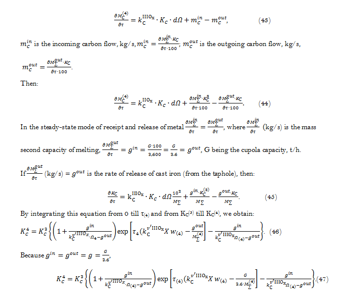
In accordance with the definition,

Eq. (10) is the basic equation for determining the concentration of the element during secondary

cast iron melting. The sign in front of kvʹ is determined by the direction of mass transfer: in case of melting loss of the element, it is the minus sign. The mathematical model should be built on the basis of the equation of mass conservation:

The calculation of Eq. (14) for each element, for each of the zones or periods of melting will create a mathematical model of mass transfer in secondary cast iron melting.

Phases interaction at iron melting units is usually analyzed by dressing zones, named after the physical processes occurring in them: heating, melting, reduction and oxygen zones of the bed charge, fore-hearth (for cupola).

Mass transfer processes define the formation of pig iron of a certain composition and properties. Mass transfer mode can be different within the same zone and identical in different zones. Therefore, it is advisable to consider mass transfer regimes for zones and periods (for periodically operating furnaces) of melting.

There is the analysis of mass transfer processes by zones and periods of melting for the main types melting units in Figure 1. Continuous melting units are divided into zones: heating, melting, overheating and accumulation. The same processes are realized at periodically operating units in the form of melting periods.

Mass transfer in the melting unit is determined by the process that makes the highest contribution to the formation of cast iron composition in a particular zone. Thus, heating is characterized by surface oxidation of the batch. After that, droplets and trickles of metal are already exposed during the melting of oxidation from the gas phase; liquid slag is already involved in the process. In the next overheating zone, the oxidation mechanism remains the same, but a new process appears: the direct reduction of oxides by the carbon in the coke bed. Finally, in the hearth or in the fore-hearth the metal is under the slag; the main thing is their interaction at the interface.

Obviously, it is advisable to analyze the mass transfer in the main characteristic mode, while counter mass flow of recovery should be taken into account separately. Thus, we can distinguish the main modes of mass transfer:

I Ox – oxidative, characterizing the oxidation batch pieces during heating;

II Ox – oxidative, characterizing the oxidation of metal in droplets when the liquid metal reacts with gas;

III Ox – oxidizing in the metal-slag system;

I R – mode of dissolution of elements (C, for example);

I Red – a reduction mode characterizing the direct reduction of oxides by carbon from the slag;

II Red – recovery mode, characterizing the recovery due to other phases involved in the process.

The latter mode is characteristic of cast iron, since the oxidation and reduction of its elements are closely related. Thus, the oxidation of silicon is at the same time the reduction of iron, etc. The same mode determines the reduction of elements according to the "crucible" reaction.

The boundaries of the implementation of mass transfer modes do not coincide with the boundaries of physical zones, but such delineation is more convenient than for zone division. Some processes, for example, carbon reduction or heating in the range of 0-1,100 °C, have been studied to a certain extent. The final result of mass transfer is formed by the algebraic sum of the substances fluxes in all modes of mass transfer.

For example, for the i-th element:

The task is to determine the individual components of the mass flows.

3.1. Oxidation of Solid Batch (Mode IOx)

Oxidation of a solid metal by the gas phase is a complex process, since the resulting solid condensed phase – the oxide layer – limits the diffusion transfer of the components.

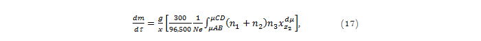
Wagner (1936 ) obtained a general kinetic equation for the rate of growth of the oxide layer:

where m is the mass of the forming oxide; t is the time; g is the cross-section of a metal plate; x is the thickness for a dross layer; CD and AB are the external and internal boundaries; n1, n2, and n3 are the number of transfer of components, anions, electrons; x is the total electrical conductivity; z2 is the anionic charge.

Obviously, Eq. (17) cannot be used for real calculations.

In area of high-temperature heating of steel feed, a lot of research has been done; there are empirical formulas for calculating the thickness of a scale dross. So, the surface loss of steel is determined by the Eq. (18):

where t1 is the heating time; T is the heating temperature.

Calculations according to this Eq. (18), made by V.N. Morgunov for cupola melting, showed significant discrepancies with the experimental data.

Oxides layer on a cast iron batch, according to the data of L.M. Marienbakh (Kuznetsov et al., 2014 ) has a thickness of 0.25 mm and contains about 1% of SiO2, 1% of MnO and more than 95% of iron oxides. That is, melting loss of C, Si, Mn in this zone is insignificant, but iron loss depends practically only on time and heating surface. Thus, it is recommended to use a simple equation for the determination of iron loss:

  1. Pig iron 0.0074-0.0013 m2/kg;
  2. Cast iron scrap – frame 0.02-0.03 m2/kg;

scrap of mould 0.004-0.005 m2/kg.

  1. Steel scrap sheet 0.03-0.04 m2/kg;

rolled metal 0.005-0.015 m2/kg;

  1. Shaving 0.14-0.16 m2/kg.

The surface of shaving is taken from the data of Puzyrkov-Uvarov O.V. Thus, the research task in the IOx mode is to determine kv for various types of batch materials. Eq. (19) is applicable for any element of cast iron:

3.2. Oxidation in Droplets (IIOx Mode)

Droplets of molten metal are formed in the melting zone; during the passage of the melting zone (t2) and the zones of the bed charge (t3), droplets are exposed to the oxidative action of the gas phase. The speediness of processes in the droplets mode and the impossibility of practical determination of the passage time of droplet surface zones make it possible to use Eq. (19) and (21) for the calculation of mass transfer:

for iron

The mechanism and kinetics of the liquid metal oxidation by gas phase are very complex and there is still no consensus on the limiting stage of the process.

In the study of the oxidation of a liquid metal by the gas phase, a limiting stage in the oxidation, for example, of carbon (Rundman, 2014 ) is considered to be the diffusion of oxygen in the gaseous phase, the adsorption-chemical act, the diffusion of carbon in the metal. There are other points of view.

The oxidation of Si and Mn is complicated by the formation of an iron oxides layer and its reduction by these elements; that is, the oxidation mechanism itself is complex.

The processes of carbon oxidation from the melt can be limited by the supply rate of the oxidizing gas (Rundman, 2014 ).

In the secondary cast iron melting, an analogous factor is the exact surface of the reaction that is unknown. Therefore, it is expedient to calculate the oxidation of iron in this mode using Eq.

where ji is the mass flow of the i-th element, g at/cm2 s; A is the mass of one atom of the substance, g/ton-at; 103 and 104 are the conversion factors (g in kg and cm2 in m2).

3.3. Oxidation of Metal by Slag (Mode IIIOx)

In this mode, the metal under the slag is oxidized. The interface in this case is fairly well known and it is possible to calculate the loss of elements by the formula:

For the smelting of cast iron in the cupola (interaction on the interface in the hearth and in the fore-hearth) and for the periodic processes in electric furnaces, it is necessary to perform calculations using Eq. (26)–(29). It should be borne in mind that when melting in an induction furnace, the diffusion difficulties on the metal side are removed by electromagnetic mixing of the metal.

The problem of the area of secondary cast iron melting is to establish the values of the visible mass transfer coefficients based on the experimental and calculated data.

3.4. Reduction of Oxides by Carbon (IRed Mode)

Reducing processes due to solid carbon are most typical for a coke cupola, because there the metal and slag flow down the coke and react with it. In this case, the reacting surface should be determined by analogy with the IIOx mode.

There are two types of reacting in IRed mode: slag-carbon and metal-carbon. As a result of the first process, C + MeO = Me + CO.

As a result of the second process (let us call it IR mode), carbon dissolves in the metal due to molecular and convective diffusion.

The kinetics of the metal oxides reduction by solid carbon has been studied by many authors. An analysis of the work on this issue is given in the dissertation of Boronenkov (1974 ). From the analysis, it was concluded that there is a significant discrepancy in the experimental data on the rates of the processes of carbon-thermal reduction, depending on the concentrations, temperature, and other conditions. There is no consensus on the limiting stages of the process, etc. In this case, the problem is to use the literary data on the kinetics of direct reduction of iron and silicon to find acceptable values for the secondary cast iron melting. For the IR mode, it is necessary to use the data of L.M. Marienbach (Kuznetsov et al., 2014 ) and other authors studying the dissolution of carbon in cast iron at cupola melting, and the data of V.S. Shumikhin (Kuznetsov et al., 2009 ) on the dissolution of carbon in induction melting. The allowance for reducing flows and dissolution fluxes for the overheating period or the zone is made by introducing into Eq.

3.5. Reduction of Oxides By Cast Iron Elements (IIRed Mode)

The reduction of oxides is possible due to carbon and other elements dissolved in the metal. The source of the reduction element in this case may be the slag or lining of the furnace.

To restore iron under conditions close to the conditions of secondary cast iron melting, it was found (Kronenberg, 1969):

3.6. Mathematical Model of Mass Transfer in Secondary Cast Iron Melting

On the basis of the above regularities, for example, for carbon, we can write:

For the zone or accumulation period, a flow can be received without an outflow. Therefore, the system of Eq. (33), compiled for each of the elements by zones and periods, is only an approximate mathematical model of mass transfer during the cast iron melting.

Simplified mass transfer models can also be compiled on the basis of average periods and concentration zones. In this case, it is possible to draw up a system of equations for the direct determination of the mass of the loss and burn-on of each of the elements. For example, for Fe this is more convenient, since it is not customary to express it in percent (Fe is the basis):

It must be taken into account when summing the mass flows that the terms of the modes IOx, IIOx, IIIOx have a minus sign, that is, kvOx is negative.

A more exact mathematical model must take into account the divergence of the element’s streams:

The flow of metal into the accumulation zone can be characterized by the difference between the incoming flux min and the outgoing flux mout. For example, for carbon in the fourth zone without carburizers entering:

Proceeding from the foregoing, the general mathematical model of mass transfer in secondary cast iron melting can be represented in the form:

from ferrosilicon introduced into the accumulation.

For C, Si, Mn, under the concrete conditions of various melting aggregates, on the basis of Eq. (48) and (55), it is possible to compile working mathematical models.

For cupola melting, it is difficult to separate the loss from some zones. In particular, it is advisable to combine the melting zone with the heating zone or the overheating zone, more exactly, in part with the heating zone (oxidation of the batch pieces), in part with the overheating zone (oxidation in droplets – IIOx mode). In this case, for Fe, Eq. (35) will have the following form:

Similar refinements can be made for each element in Eq. (48)–(55).

To determine the visible mass transfer coefficients, the actual possibilities of dividing them by the zones and types of mass transfer processes should be taken into account. In most cases, the visible mass transfer coefficients must be determined empirically.

One such case is the mass transfer to the electric furnace in the mixing mode. The reaction surface is equal to the metal-slag interface; the time can be tightly fixed. The process of mass transfer is complicated only by the multicomponent nature of the melt.

The basic equation of mass transfer

is true in the case when cast iron is not added to the furnace and no cast iron is added and is not taken for casting the molds. Integrating this equation from 0 to τ (mix time) and from Ki0 till Kiout (final concentration), we obtain

However, in most cases, the mixing is carried out in such a way that there is always metal in the furnace; metal is taken from it and added into it in certain portions.

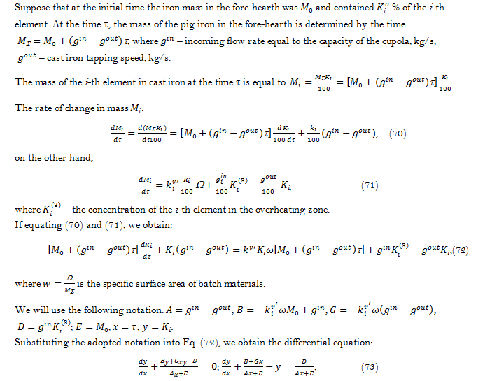
The weight of the metal in the furnace is given by:

where M0 – the metal mass in the furnace at the initial instant of counting, τ = 0; Min and Mout – mass of one portion of incoming and outgoing metal; Nin and nout – the number of portions of the incoming and outgoing metal, respectively, over a period of τ.

The mass of the i-th element in cast iron at the time τ will be equal:

The solution of this differential equation can be realized with the aid of a computer for specific numerical values.

If we admit a number of assumptions, then a simpler mathematical model can be obtained. We divide (conditionally) the processes of concentration change as a result of the mass change and as a result of the selection of the metal and its receipt. The concentration of the i-th element at the initial instant is Ki0 (in the mass M0). If we add Min∙nin and take away the Mout∙nout mass of metal, then:

which is a linear equation of the first order with respect to the unknown function and its derivative. Eq.(73) can be recorded in the following form:

Table-1. Distribution of element’s loss by zones

Source: Grachev (2016 )

The mass transfer was calculated for cast iron melting on the basis of the mathematical model. In order to calculate the mass transfer over the cupola zones, it is necessary to determine the fraction of element loss for zones of heating, melting, and overheating. For this purpose, experimental melting was carried out in a laboratory gas cupola with a capacity of 20 kg/h and an experimental gas cupola with a heterogeneous bed charge (refractory charge) with a productivity of 0.7 t/h as described in the Research Methodology. Experiments in the laboratory cupola showed that 20-30% of carbon (from the total loss), about 60% of Si and, on average, 70% of Mn (the data on manganese vary considerably) are lost in the shaft during heating and melting. In the gas cupola with a heterogeneous nozzle, melting loss of carbon is completely formed in the shaft, and in the fore-hearth, even a certain "burn-on" was obtained. This is established by the analysis of six samples taken in parallel from each zone. Silicon, on the contrary, was not lost in the shaft at all. A big carbon loss in the charge free from carbon and a small Si loss are extreme cases, since the interphase surface there is larger than in case of melting in gas cupolas without refractory bed charge. The introduction of carbonaceous materials into the bed charge allows avoiding significant carbon loss in the presence of insignificant loss of Si and Mn. The results of mass transfer calculations are presented in Table 1.

When carrying out experimental melting in the laboratory cupola, it was established that in case of using frame-type castings as charge, it is impossible to determine the Fe loss and the total loss by weighing the batch and liquid metal due to the sand burn-on on return and other hindrances. It is also difficult to establish loss of other charge materials due to the difficulty of weighing liquid metal. More accurate is the calculation of iron loss by the amount and composition of the slag. This method can be applied in two ways: first – by weighing the slag and analyzing it, and, secondly, by drawing up a balance of manganese, which is supplied to slag as a result of the Mn loss from the cast iron. It is convenient to use this method when it is difficult to take into account the amount of slag, for example, when sampling slag from various zones of the melting unit or at considerable masses of the smelted metal.

From the data given in Table 1, it can be seen that calculation using the introduced concept of visible mass transfer coefficients allows analyzing mass transfer by zones, as a result of which the composition and properties of cast iron are formed.

When calculating the loss in IOx, it was assumed that the elements, except iron, are lost only within the layer of the lost iron. The determination of iron loss by zones is a significant difficulty; therefore, only was determined. For C, Si, Mn, the values of  were set, and for the gas cupola with external overheating chamber –  in the melting and overheating zones, that is, in the latter case, two modes IIOx and IIIOx were covered. For the gas cupola with a heterogeneous nozzle, it was possible to clearly calculate the values of  by zones. It was established that in the gas cupola with a bed charge, with no carbon in the composition of the charge, a significant amount of its loss was observed. 38.03 kg of Fe was recovered (pre-oxidized) due to carbon. And at the same time, the final composition of the slag reveals a significant iron loss. Upon introduction of carbon into the composition of the refractory bed charge, a mass flow appears in the IIRed mode.

In the cupola with the heterogeneous bed charge, melting was carried out with sampling of the slag above the refractory bed charge in the melting zone from the shaft, after the refractory bed charge and from the fore-hearth (Table 2). The data of Table 2 confirm the previously stated assumptions about the nature of elements’ loss in the gas cupola.

Table-2. Slags compositions from various zones of the gas cupola with a heterogeneous refractory charge

Place of sampling Content of components, %
SiO2 Al2O3 Fe2O3 FeO MnO the rest
From the shaft above the refractory bed charge 53.7 26.2 15.7 1.3 1.7 1.4
After the refractory bed charge 54 27.5 11 0.8 2.6 4.1
From the fore-hearth 51.5 20 6.22 0.9 3.04 18.34

Source: Grachev (2016 )

REFERENCES

Bechetti, D.H., J.N. Dupont, J.J. deBarbadillo and B.A. Baker, 2014. Homogenization and dissolution kinetics of fusion welds in INCONEL® alloy 740H®. Metallurgical and Materials Transactions A, 45(7): 3051-3063. View at Google Scholar | View at Publisher

Blum, R. and J. Bugge, 2011. The European perspective and advancements for advanced USC steam power plants. Proceedings of the 6th International Conference on Advances in Materials Technology for Fossil Power Plants. Santa Fe, NM, USA. pp: 1-10.

Boronenkov, V.N., 1974. Kinetics of Metal Reduction from Oxide Melts (Doctoral Thesis). Sverdlovsk: UPI.

Gagliano, M.S., H. Hack and G. Stanko, 2008. Fireside corrosion resistance of proposed USC superheater and reheater materials: Laboratory and field test results. Proceedings of the 33th International Technical Conference on Clean Coal Utilization and Fuel Systems. Clearwater, FL: ASME. pp: 1221-1232.
Gagliano, M.S., H. Hack and G. Stanko, 2009. Update on the fireside corrosion resistance proposed advanced ultrasupercritical superheater and reheater materials: Laboratory and field test results. Proceedings of the 34th International Technical Conference on Clean Coal Utilization and Fuel Systems. Clearwater, FL: ASME. pp: 379-390.

Grachev, V.A., 2016. Physical and chemical fundamentals of cast iron melting. Moscow: A.N. Frumkin Institute of Physical Chemistry and Electrochemistry of the RAS.

Karabasov, Y.S. and V.T. Chizhikova, 1986. Fisko-chemistry of iron recovery from oxides fississ and chemists of iron reductions from oxides. Moscow: Metallurgiya.

Kronenberg, M.L., 1969. Gas depolarized graphite anodes for aluminium electrowinning. Journal of The Electrochemical Society, 116(8): 1160-1164.View at Google Scholar 

Kuznetsov, N.T., S.P. Ionov and K.A. Solntsev, 2009. Development of the concept of aromaticity. Polyhedral structures development of aromatocytes concept. Polyhedron structures. Moscow: Nauka.

Kuznetsov, N.T., V.M. Novotortsev, V.A. Zhabrev and V.I. Margolin, 2014. Fundamentals of nanotechnology. Manual. Moscow: BINOM. Laboratoriya Znanii.

Lippold, J.C., S.D. Kiser and J.N. DuPont, 2011. Welding metallurgy and weldability of nickel-base alloys. Hoboken, NJ: Wiley.

Morse, P.M., 1929. Diatomic molecules according to the wave mechanics. Physical Review, 34(1): 57-64. View at Google Scholar | View at Publisher

Nagasaka, T., Y. Iguchi and S. Ban-Ya, 1985. Kinetics of reduction of molten wustite with CO. Transactions of the Iron and Steel Institute of Japan J. Iron and Steel Inst. Jap, 71(2): 204-211.

Rostovtsev, S.T., 1969. Nekotorye voprosy kinetiki i mekhanisma vosstanovleniya okislov zheleza v zhelezorudnykh materialakh gazami. Phisiko-khimichskie osnovy metallurgicheskikh protsessov Some issues of the kinetics and mechanism of the iron oxides reduction in iron-ore materials by gases. In physico-chemical basis of metallurgical processes. Moscow: Nauka. pp: 5-12.

Rundman, K.B., 2014. Metal casting. Reference book for MY4130. Houghton, Michigan: Michigan Technological University, Dept. of Materials Science and Engineering.

Sarver, J.M. and J.M. Tanzosh, 2008. The steamside oxidation behavior of candidate USC materials at temperatures between 650°C and 800°C. Proceedings of the 5th International Conference on Advances in Materials Technology for Fossil Power Plants. Marco Island, FL, USA. pp: 471-487.

Speicher, M., A. Klenk, K. Maile and E. Roos, 2010. Behaviour of Ni-based alloys for fossil-fired power plant components in the long-term creep regime. Euro Superalloys 2010, European Symposium on Superalloys and Their Applications. Wildbach Kreuth, Germany: TTP. pp: 241-246.

Swalin, R.A., 1959. On the theory of self-diffusion in liquid metals. Acta Metallurgica, 7(11): 736-740. View at Google Scholar | View at Publisher

Thonstad, J. and E. Hove, 1964. On the anodic overvoltage in aluminium electrolysis. Canadian Journal of Chemistry, 42(7): 1542-1550. View at Google Scholar | View at Publisher

Wagner, C., 1936. Contribution to the theory of the startup process. II. Journal of Physical Chemistry, B32(1): 447-462. View at Google Scholar | View at Publisher

Yesin, O.A. and R.A. Toporishchev, 1971. Study of the kinetics of direct reduction by electrochemical methods. Physical Chemistry of Oxides [Study of Direct Reduction Kinetics by Electrochemical Methods. In Physical chemistry of oxides. Moscow: Nauka. pp: 55-66.