Index

ABSTRACT

Tree retention on farms has always been practiced by farmers. Today, due to the increasing demand for farmlands, the desire for tree retention on farms is decreasing. Despite sustained culture of tree retention on farms, research and policy have focused on natural forests. This paper was aimed at understanding the pattern of tree abundance on smallholder farms in terms of density, diversity and composition. Trees were recorded on 45 two-hectare farm plots in the year 2016 in the greener belt of Ethiopia. To this end, both radial distance and ethno-culture approaches were employed to understand the pattern. Trees were as diverse as 19 species and 7 families. Species of Terminalia macroptera Guill. & Perr, Terminalia brownii Fresen. and Croton macrostachys, and families of Fabaceae and Combretaceae were the most abundant. Densities of trees and their species were 3.82ha-1 and 2.68ha-1 respectively. Center-outward increasing pattern of tree density across RDs was found. The tree species showed varying pattern of abundance. Trees were more abundant on the farms of the indigenous than the non-indigenous group. In conclusion, the center-outward pattern of tree density across radial distances shows a decline in the level of tree removal from farms. The mixed pattern of tree species abundance shows the differences in farmers’ preference of specific species during tree retention. More tree abundance on farms of indigenous than non-indigenous is consistent with prior expectations and previous literature. Research into, why variations in tree abundance across space and ethno-cultures existed and, species preference is necessary.

Keywords: Pattern, Tree, Retention, Abundance, Smallholder, Farm, Ethno-culture, Green, Belt.

DOI: 10.20448/803.4.2.153.172

Citation | Guyu F. D. (2019). Pattern of Tree Abundance on Farms of Smallholders in the Greener Belt of Ethiopia. Canadian Journal of Agriculture and Crops, 4(2): 153-172.

Copyright: This work is licensed under a Creative Commons Attribution 3.0 License

Funding : This study received no specific financial support.

Competing Interests: The author declares that there are no conflicts of interests regarding the publication of this paper.

History : Received: 21 June 2019 / Revised: 2 August 2019 / Accepted: 9 September 2019 / Published: 7 October 2019 .

Publisher: Online Science Publishing

Highlights of this paper

  • The paper examined the pattern of tree abundance on farms of smallholders in the greener belt of Ethiopia.
  • Pattern of density, diversity and composition of farm trees were analyzed.
  • Theses pattern were examined from both spatial and ethno-culture perspectives.

List of Abbreviations:

BGR: Benishangul-gumuz region; BHgL: Bechbech-Hamusgebeya-Logiya; ha: hectare; P/A:
Presence/absence; RD: Radial distance; SAR: Species-area; STD: Standard deviation

1. INTRODUCTION

Humanity is almost entirely associated with forest ecosystem in one way or another. The atmospheric air, ecological, and hydrological, balances are maintained by the processes operating in the forests. Forests are sources of medicines and food and nutrition for human beings [1, 2]. The contribution of trees to biodiversity [3-6] and their roles in improving farm productivity in agroforestry systems are also paramount [7-10] . Farmers in the present study area seemed to have understood these benefits of forests and trees in farm ecosystems because field observations show that they have retained trees on their farms.

Human population at global and local scales has always been growing and is likely to continue to grow in the future. In the face of such a growth, it seems difficult to get forest ecosystems that are fully free from human contacts. Through agriculture, man has degraded forest resources including trees [11]. Theoretically, natural forests are thought to be free from human interference and are characterized by diverse species [5]. They represent a complex system as compared to human ecological systems [1].  However, anthropogenic factors have always been operating and will continue to operate and bring about landscape changes [12]. As a result the distinction between “natural” forest and those altered by human activities is often blurred [13]. The major threats to forests come from increasing pressure of human population [14].

One of the most important and clear means by which man interferes natural forests is through agriculture. It is one of the major anthropogenic factors that cause changes in forest resources including trees [5, 12]. In developing regions of the world where the majority of the population depends on agriculture, the role of smallholder agriculture is very significant although large-scale modern and technology-intensive monoculture farming also plays a considerable role in affecting forest ecosystems [15]. In Ethiopia too, the impact of smallholder agriculture on forest resources is great as the livelihood of almost 95% of the population depends on smallholder subsistence farming [16]. The concern of humanity is therefore to recognize the inevitability of agriculture as long as humans exist on the planet earth and to tackle the increasing challenges to the forest ecosystem and its resources. Traditional means of retaining trees on farms by smallholders is one of the mechanisms through which people can tackle the challenges facing forest, especially tree resources. Through tree retention, farmers have traditionally conserved some of tree species on their farms when clearing land for cropping.

Studies have shown that rural farmers have recognized the retention of trees in farming systems as an inevitable priority [13, 17]. Traditional method of tree retention, agroforestry, has been practiced with the goal of generating a wide range of environmental, ecologic and economic outcomes [5, 18]. Producing timer [6], food and nutrition [1-3] and serving as a source of biodiversity as forests harbor plant and animal species [6] are the reasons, mentioned in literature, for conserving forests and their resources including trees. But since the onset of technological advancement that encourages the use of artificial fertilizers and mono-crop cultivation, trees have become neglected factors in agriculture [19]. However, technologically less advanced regions of the world such as Africa have continued the practice of tree retention on their farms. There are also evidences of tree retention practices in the farming systems of the greener part of Ethiopia.

In fact, tree retention on smallholder farms plays great role in sustainable conservation of biodiversity. Moreover, the economic, socio-cultural, environmental and ecological outcomes of tree retention on smallholder farms are significant. Despite these facts, policy and research into farm trees have been very scanty and lack attention. Existing literature on the density, diversity and composition of trees and developing models for approaching these has focused on forests in their natural setting. To mention some, De Cauwer, et al. [14] studied the patterns of forest composition and their long term environmental drivers in the tropical dry forest transition zone of Southern Africa. According to Van and Cochard [5] vegetation patterns of a secondary hillside rainforest remnant as an outcome of natural processes, and anthropogenic processes linked to changing forest values. Gadow, et al. [11] described the structure and diversity at community, plot and individual tree level, and evaluated the effect of forest structure and tree species on individual tree growth and plot production.  They evaluated the effect of forest structure and tree species diversity on plot productivity and individual tree growth. Also, Brahma, et al. [19] developed models to estimate biomass at the stand level of different tree components in rubber plantations. According to Weiskittel, et al. [4] models for evaluating an individual tree growth and yield for the mixed species forest can be developed. All of these are limited to the study of forest ecosystems in their natural settings in different parts of the world. To mention some of the tree related studies in agroforestry systems, Albertin and Nair [8] examined the farmers’ perspectives on the role of shade trees in coffee production systems. According to Rahman, et al. [10] identified five main agroforestry systems (home gardens, fruit tree system, timber tree system, mixed fruit–timber system, and cropping in the forest understory) in Indonesia [10, 15]. These studies do not elucidate the cultural and spatial patterns of tree characteristics in farming systems in general and smallholder farms in particular. Only [10] tried to touch the tree culture of smallholder farmers practicing agroforestry.

Farm forestry is one way of protecting natural environment and biodiversity [17]. Agroforestry as a means of arresting land degradation has increasingly been adopted [8, 20]. It is and has been a traditional land use developed by subsistence farmers throughout almost all of the regions of the world, except where it is too dry or too cold for trees [20]. A related approach known as shade-tree agroforestry in coffee agroecosystems is employed in many parts of the world [8]. Conservation agriculture has been proposed and adopted as an alternative to both conventional and organic agriculture as a means of ensuring sustainability of agriculture. Conservation agriculture with trees has been proposed more recently as a policy measure and approach that combines the principles of conservation agriculture with agroforestry [21]. Farmland afforestation has become a common policy approach in many European Union countries [6]. These are few examples of biodiversity and land conservation approaches that have been adopted as a result of being informed by policy based on scientific research. Traditional agroforestry is an aspect of agroforestry which people traditionally practice based on their own indigenous knowledge and long existed experiences without being informed by policy and research expecting its ecological, environmental and economic benefits.

The concept of traditional agroforestry is not well established as compared to agroforestry, which is well defined in literature [17, 22].  Agroforestry is an approach that involves the practice of integrating, or the cultivation and use of, trees in farming systems, involving land management, especially by small-scale producers [20, 22]. Agroforestry is practiced by both traditional land users as subsistence farming and, more recently, as an important livelihood option promoted by land-use managers and international development agencies [20]. Tree retention is an aspect of traditional agroforestry in which farmers keep trees alive on farms as opposed to planting of new trees on degraded farms. In many parts of the Sub-Saharan Africa including Ethiopia, traditional agroforestry is a common practice undertaken by farmers. Trees in farming systems can be found either in forest fallows within shifting cultivation systems or as a result of deliberate management and/or planting [15, 22].

Despite the potential of traditional agroforestry in protecting environment and ecosystem balance, research that aims at measuring and understanding the level of biodiversity and density of trees in, as well as policy approach that encourages, this system is very scant. Most agricultural policy approaches have still encouraged farming that relies almost exclusively on external inputs and technologies [21]. This has abandoned the sustainability of biodiversity of forests and farm trees as it focuses on the short-term economic gains. Very few approaches as mentioned in the preceding paragraph have focused on biodiversity aspect of farming [21, 23]. But, traditional agroforestry has less been recognized as a means of sustainable biodiversity and forest ecosystem conservation.

The aim of this paper was therefore to measure the levels and pattern of tree abundance on smallholder farms in the greener part of Ethiopia. It analyzes and understands the density, diversity and composition of trees on farms with reference to their ethno-culture and spatial dimensions. In fact, study on forest ecosystem and agroforestry is not completely absent in literature. For example, about 88 tree species are documented in forests of the greener part of Ethiopia in their natural settings [24]. One of the unique contributions of the present paper is however the analysis of ethno-cultural and spatial patterns of tree abundance on farms of smallholders which, as far as the literature reviewed in this paper is concerned, have not been touched while it is important. Accordingly, the study has both theoretical and empirical significances. It brings insights about the state of tree density, diversity and composition in the traditional agroforestry systems into the broader knowledge of forest ecosystem. As a result, it endeavors to bridge literature gaps in the field of forestry. Practically, the findings of the study inform policy and strategies towards balancing between the need for expanding arable farms and its adverse effect on biodiversity, tree abundance and ecosystem services that they provide.

The experience of tree retention on farms is not the same across cultures. Different ethno-cultures may practice tree retention at varying levels. Such a variation can be explained using the underlying theory of ethno-culture approach. Ethno-cultural approach assumes that the cultural backgrounds of different ethnic groups as a base of all factors of human experience [25]. According to this theory, that there is always variation between different ethnic groups with regard to their cultural experience that reflects itself in their lives, work experiences, knowledge and practices. This approach is first overtly proved by applying it to understand the food security/insecurity experience [25] vulnerability experience [25] and resilience experience in the face of risks and stresses by gathering wild foods [2] in the greener belt of Ethiopia. In its present application therefore it was thus intended that the experience of farming community in tree retention varies between the indigenous and non-indigenous people living in the greener belt of Ethiopia. In addition to ethno-culture approach, it was also expected that the density, diversity and composition of trees on farm plots at or near the centers of villages is lower and gradually declines as one moves outward from the center. This was captured as the spatial pattern of tree abundance measured from different radial distances (RDs), radial distance one (RD1) being measured from the center followed by RD2 and RD3 consecutively [25].

2. METHODS

2.1. Study Area

Actual investigations into the pattern of tree abundance on the farms of smallholders were undertaken in the greener belt of Ethiopia from March to April, 2016. Pilot survey of farm fields was however conducted a year ago in March 2015. Belo-jiganfoy district located in the Midwestern part of Ethiopia was chosen for the study as it clearly represents the greener belt of the country. Learnt from prior study on wild food gathering in the forests of the area [2] the culture of tree retention on farms was assumed to greatly rely on the ethno-cultural background of the people. The people in the district have already been grouped into two: indigenous and non-indigenous ethno-cultures [2]. Berta, Gumuz, Shinasha, Mao and Komo are the indigenous people and the remaining others mainly the Amhara and Oromo are the non-indigenous people in Benishangul-gumuz region (BGR) [16].  Out of this, Berta, Gumuz and Mao from the indigenous and Amhara and Oromo from the non-indigenous group are livening in Belo-jiganfoy district. In addition to using RDs in plot sampling, the farm plots that belonged to each ethno-culture group were considered.

The forests and woodlands of the greener belt of Ethiopia in general and the district in particular are characterized by rich tree species. About 88 different tree species were identified in this area [24]. Species that belong to Fabaceae, Combretaceae, Bignoniaceae, Myrtaceae, Moraceae, Annonaceae, Burseraceae, Tiliaceae and Poaceae (Oxytenanthera abyssinica) are the dominant tree species in the area. These have however been greatly reduced due to agricultural practices. People living in this part of the country largely depend on crop cultivation although other forms of economic activities are also practiced. It is indicated that the livelihood of almost 95% of the population of the region is generated through subsistence farming practiced by smallholders [16]. The greener belt of Ethiopia is generally humid to sub-humid with mixed topography. In some areas, it is characterized by plain topography while in some others with mountainous features and river gorges. Rains are mono-modal type that occurs during summer season [26]. In general, the study area is characterized by dense forests, woodlands, grasslands and riverine trees. The present study was however limited to crop farms only.

2.2. Farm Plot Selection Method

The pattern of tree characteristics (i.e. density, diversity and composition) in a forest or an agroforestry system can be analyzed by spatial and temporal considerations. In agroforestry systems, the spatial and temporal pattern of these characteristics can be extended to the sequence of crop and tree mixing on farms when intercropping [13]. Moreover, the way trees and crops are mixed in agroforestry systems can be seen as a pattern. In the current study, the ways by which these characteristics of trees (used in this paper as indicators of abundance) vary across RDs and ethno-cultures is regarded as pattern, hence spatial and ethno-cultural patterns of tree abundance. The sampling process therefore implicitly considered both spatial and ethno-cultural characteristics of the indicators of tree abundance on farms.

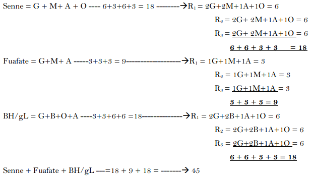
Selection of farm plots for the study started during pilot observation of the farm fields, which gave clues on how to proceed with sampling. The whole district was divided into three villages. The division of the district considered the south-north orientation because human interference in farm trees was assumed to decrease from the former to the later. Thus, one center from the southern most part (Senne village), one from nearly central part (Fuafate village) and one from the northern part (Bechbech-Hamus Hamusgebeya-Logiya (BHgL) village) were purposively selected. The sample plots (i.e. 45 two-hectare (ha) = 90ha) were purposively distributed to the 3 villages. Accordingly, 18 farm plots from Senne, 9 from Fuafate, and 18 from BHgL, villages were selected. The three villages were divided into three RDs beginning from the center after every transect walk distance of 5km, RD1 being within 0-5km, RD2 within 5-10km and RD3 within 10km and above. This was carried out during the pilot survey that was conducted in March 2015. The purpose was to investigate if there were variations in the density, diversity and composition of trees on farms with variation in RDs. Once the RDs were determined, farm plots were selected randomly from each RD considering each ethno-culture. The whole process resulted in selection of 15 farm plots from each RD.

2.3. Method of Considering Ethno-Cultures in the Sample

It was assumed that human interference in farm trees is high at or near the centers of villages and gradually declines outwards and vice versa. That is, the closer the RD to the center, the higher the disturbance to the farm trees and the lesser the number of trees, their species and densities and, vice versa. This is the point where cultural elements (i.e. background and experience of different ethnic groups) in farm tree retention should be introduced in sampling process. In the study area, farmers that belong to the non-indigenous ethno-culture group were found to have better experience in crop management practices [25]. The same source found that farmers in the non-indigenous ethno-culture group have underestimated the role of trees on farms prioritizing crop yield as compared to the indigenous group. Thus, there was a need for considering farm plots of households under the two ethno-culture groups in the sample. In order to involve the ethno-culture factors therefore 30 farm plots of the indigenous and 15 to the non-indigenous ethno-culture groups were selected and studied. The purpose was to look into the differences in the experience of tree retention between the two ethno-cultures.

Where B = Berta, G = Gumuz, M = Mao, A = Amhara, and O = Oromo, and BH/gL = Bechbech-Hamusgebeya-Logiya, the whole process can be summarized as follows:

2.4. Field Survey Method

Actual data collection process involved measuring of the area of farm plots and counting of all trees retained on the farm plots. The measurements of land area were conducted in order to determine the two-hectare plots as indicated in the sample design. This was carried out in March – April, 2016 in three of the sample villages. These months represent critical season of spring in Ethiopia when farm fields are completely free from any crop. Rather farmers during this season clean and prepare the farms for tillage when rains occur. All of the 45 plots were coded carefully ahead of actual enumeration of trees in order to avoid double enumeration of trees on the same plot.

Two ways of taking the measurements of farm plots were employed. The first way was recording the size of land as reported by the owners if they were sure of it. In this regard, almost all farm households that belong to the non-indigenous ethno-culture group had the exact knowledge of their farm size. This, according to informal interviews made with individuals, was due to the fact that most of them got land through purchasing from indigenous ethno-culture group. The second way was using a 100 meter string to measure the land area if the farmers did not know the exact size of their farms. This was performed mainly among people that belong to the indigenous ethno-culture group. In most circumstances, farmers in this group did not know their farm size as they occupied it themselves as a result of transfer from their forefathers. In the process, each tree species was carefully recorded where they were located in a specific sample plot whenever observed along with their type/species. During the enumeration of trees the village, RDs and code of the plot from which each type of tree was found was carefully recorded. The intention was that the analysis of the density, diversity and composition of trees was carried out based on the respective hectares in which respective tree species are identified.

2.5. Analysis of Tree Abundance on Farms

The goal of this study was to understand the level and pattern of tree abundance on the farms of smallholders in the greener belt of Ethiopia. This was achieved by measuring the indicators of abundance (i.e. density, diversity and composition) of trees and their species. The pattern of these indicators was analyzed in terms of spatial and ethno-cultural distribution of these indicators. Different approaches can be used to describe these characteristics of tree abundance. Alternative measures of tree abundance such as stem density ha-1, basal area ha-1 and presence/absence (P/A) of the tree species are available in literature [14]. Moreover, species-area (SAR) model is a newly developed general approach that can be used to derive a common standard of tree species diversity for different plot sizes, i.e. the species richness ha-1 [12]. Basal area method is most appropriate in natural forest ecosystems and P/A is most likely a purely qualitative technique. The SAR model and stem density ha-1 have certain resemblance and are appropriate for the current study. Thus, in this paper a sort of SAR model was used to measure and describe the characteristics of tree abundance. Each indicator of abundance is expressed in terms of number ha-1. The calculations were performed using Excel. The overall density of trees as well as species density was determined as the ratio of the total number of trees or species ha-1. Tree composition was determined differently for tree species and their families as total number of each, tree species or, family per 100 total species or families. The results were therefore compared between the three RDs and the two ethno-culture groups in order to understand whether differences in the pattern of these characteristics of tree abundance existed or not. To do this, the findings were presented in tables and figures, described, discussed and interpreted thoroughly.  

3. RESULTS

3.1.Tree Retention on Farms of Smallholders

As shown in Table 1 On average, 3.82 trees per hectare (ha-1) were recorded in the greener belt of Ethiopia. The number of trees ha-1 ranges from 2 to14 (standard deviation (STD) = 3.26). About 30%, 21% and 49% of trees were found on the farm plots surveyed in Senne, Fuafate and BHgL villages respectively. The respective minimum and maximum numbers of trees ha-1 were 2 and 9 in Senne, 6 and 10 in Fuafate, and 5 and 14 in BHgL, village. The average number of trees ha-1 was 2.92 (STD = 2.42) in Senne, 3.94 (STD = 2.89) in Fuafate, and 4.67 (STD = 3.75) in BHgL, village.

According to Table 2, regardless of their density ha-1, 19 different tree species were identified on the surveyed farm plots Table 2. About 34%, 19% and 49% of the tree species were found in villages of Senne, Fuafate and BHgL respectively. As shown in Table 1, there were also variations in the distribution of tree species among the surveyed villages. The tree species are also grouped under 7 families. According to Figure 2 and 3, these include the family of Annonaceae, Boraginaceae, Combretaceae, Fabaceae, Moraceae, Myrtaceae, and Tiliaceae. The result presented in Table 3 shows that there were 2.68 species ha-1 (STD = 1.86) for the surveyed farms as a whole. According to Table 1, the minimum and maximum number of tree species was 2 and 9 respectively. Similarly, according to Table 5 the average number of tree families was 1.57 ha-1 (STD = 1.42) for the surveyed farm plots.

 
Table-1, Distribution of trees and their species by sample village.
Item
Parameter
Village
1. Trees  
Senne
Fuafate
BH/gL
All
Min.
2
6
5
2
Max
9
10
14
14
Mean
2.92
3.94
4.67
3.82
STD
2.42
2.89
3.75
3.26
Total number of trees (Freq.)
105
71
168
344
% of total
30.52
20.64
48.84
100.00
2.Tree species (19 species)
Min.
2
2
3
2
Max.
7
7
9
9
Mean
1.97
2.17
2.67
2.68
STD
1.73
1.89
2.33
1.86
Frequency of species
69
39
96
204
% of total
33.82
19.12
48.84
100.00

Source: Researcher’s field survey, 2016.

Table-2. List of tree species identified on farm plots of smallholders.
Local name
Scientific name
Family
Agaha (Shi.)
Acacia sieberiana var. woodii
Fabaceae
Ageraa (Ber.)
Comberum molle R. Br. Ex G.Don
Combretaceae
Ansisiwa (Gum.)
Albizia malacophylla (A. Rich.) Walp.
Fabaceae
Bambutta(Gum.)
Annona senegalensis Pers.
Annonaceae
Banja (Gum.)
Cordia africana Lam.
Boraginaceae
Baroha (Shi.)
Croton macrostachys 
Fabaceae
Beguha (Gum.)
Terminalia macroptera Guill. & Perr.
Combretaceae
Bulumtsee (Ber.)
Syzygium guineense (Willd.) DC
Myrtaceae
Dhoha (Gum.)
Tamarindus indica L.
Fabaceae
Ebeya (Gum.)
Ficus mucuso Ficalho
Moraceae
Fuqa (Gum.)
Ficus sycomorus L
Moraceae
Gaba (Shi.)
Heliotropium steudneri Vatke
Boraginaceae
Gediya-1 (Gum.)**
Grewia mollis A.Juss.
Tiliaceae
Gediya-2 (Gum.)**
Grewia velutina (Forssk.) Vahl
Tiliaceae
Hafa (Gum.)
Terminalia brownii Fresen.
Combretaceae
Mecha (Gum.)
Piliostigma thonningii (Schum) Milne-Redh
Fabaceae
Shanduka (Gum.)
Terminalia laxiflora Engl. & Diels
Combretaceae
Sigah (Gum.)
Anogeissus leiocarpa (A. DC.) Guill.&Perr
Combretaceae
Sipe(Gum.)
Acacia polyacantha Willd. 
Fabaceae
Ber. = Berta, Gum. = Gumuz, Shi. = Shinasha; **different sp. of Grewia.

Source: Researcher’s field survey, 2016.

3.2. Level of Abundance of Trees and their Species on Farms

Abundance of trees and their species was evaluated, in this paper, in terms of their density, diversity and composition. These measures of tree characteristics were used as indicator of abundance of trees and their species.  
Density as indicator of abundance was determined for trees counted and recorded and tree species identified on the surveyed farm plots. As indicated earlier in Table 1 and 2, there were 344 trees that belong to 19 species and according to Figure 2 and 3 there are grouped under 7 families as recorded from the farm plots. The result in Table 3 shows that the average density of, trees was 3.82ha-1 (STD = 3.26) and, tree species was 2.68ha-1 with STD of 1.86. The density of each tree species and family however vary from one species and family to another.

According to the result shown in Figure 1 Beguha (Terminalia macroptera Guill & Perr) with 0.42ha-1 was the densest and most abundant species whereas Shanduka((Terminalia laxiflora Engl. & Diels) with 0.07ha-1 was the least dense species on the surveyed farm plots. The next dense and abundant species to Beguha were Hafa (Terminalia brownii Fresen) with density of 0.41ha-1, Baroha (Croton macrostachys) with 0.37ha-1, Fuqa (Ficus sycomorus L) with 0.29ha-1, Bulmetsee (Syzygium guineense (Willd.)DC ), Agaha (Acacia sieberiana var. woodii ) and Bambutta (Annona senegalensis Pers.) each with 0.27ha-1, Sipe (Acacia polyacantha Willd.) with density of 0.26ha-1 and Ageraa (Comberum molle R. Br. Ex G.Don) with 0.21ha-1. The next dense and abundant species were Dhoha (Tamarindus indica L.), Ansiswa (Albizia malacophylla (A. Rich.) Walp) and Banja (Cordia africana Lam.), each with 0.13ha-1, Sigah  (Anogeissus leiocarpa (A. DC.)Guill.&Perr) with density of 0.12ha-1, Gediya-1 (Grewia mollis A.Juss.) and Mecha (Piliostigma thonningii (Schum)Milne-Redh ), each with density of 0.11ha-1, Gediya-2 (Grewia velutina (Forssk.) Vahl) with 0.08ha-1, and Ebeya (Ficus mucuso Ficalho) and Gaba (Heliotropium steudneri Vatke), each with 0.09ha-1 had low density and less abundant on the surveyed farm plots.

Figure-1. Density of tree species identified on farm plots.

Source: Researcher’s field survey, 2016.

Regardless of the variations in the spatial and ethno-cultural patterns, density was also analyzed for 7 tree families identified on the surveyed farm plots. The result in Figure 2 shows that Fabaceae was the densest tree family with density of 0.40ha-1 followed by Combretaceae family with 0.38ha-1. Annonaceae and Moraceae each with density of 0.19ha-1 were the next dense families of trees followed by Myrtaceae with 0.16ha-1, Tiliaceae with 0.14ha-1 and Boraginaceae with 0.11ha-1families.

Figure-2.  Distribution of tree families by their density per hectare.

Source: Researcher’s field survey, 2016.

With regard to diversity of tree species, as indicated in Table 2, the study identified 19 tree species. As shown in Figure 2 and 3, they are grouped under 7 families. The average number of species was 2.68ha-1 (STD = 1.86) and as show in Table 3, the minimum and maximum number of species ha-1 was 2 and 9 respectively for the surveyed farm plots as a whole. Similarly, the average number of tree families was 1.57ha-1 (STD = 1.42). This means the trees were as diverse as 19 species and 7 families on the smallholder farms in the greener belt of Ethiopia. Likewise, tree species and their families were as diverse as 2.68 and 1.57 ha-1 respectively.

The analysis of composition as indicator of abundance is measured as the proportion of each species out of 19 and each family out of 7. The results in Figure 2 and 3 grouped the trees and their species recorded from surveyed farm plots into 7 families. Most of the tree species recorded (31.6%) belong to Fabaceae family followed by Combretaceae (26.3%), Boraginaceae, Moraceae and Tiliaceae (10.5% each), Annonaceae and Myrtaceae (5.3% each) families.

Figure-3. Family composition of tree species identified on farms of smallholders.

Source: Researcher’s field survey, 2016.

Table 5 shows the composition of tree family in terms of percent of frequency distribution of each. Accordingly, 25.5% of the tree families were composed of Fabaceae family. This was followed by Combretaceae family which constituted about 24% of the total tree families. Annonaceae and Moraceae, each with about 12% of the total tree family composition came next to Combretaceae family. Boraginaceae, Tiliaceae and Myrtaceae constituting almost 10%, 9% and 7% of the total tree families became last with regard to their composition.

More specifically, as shown in Figure 4 the trees were composed of 19 species. Beguha (Terminalia macroptera Guill. & Perr) and Hafa (Terminalia brownii Fresen.) each with about 11% occurred most frequently on the surveyed farm plots.  In contrast, Shanduka (Terminalia laxiflora Engl. & Diels) which constitutes almost 2% of the total species frequency was the least abundant on the farm plots. Baroha (Croton macrostachys) with about 10%and Fuqa (Ficus sycomorus L) with about 8% of the total occurrence of the tree species were the next most abundant next to Beguha and Hafa. These were in turn followed by Agaha (Acacia sieberiana var. woodii), Bambutta (Annona senegalensis Pers.), Bulmetsee (Syzygium guineense (Willd) DC) and Sipe (Acacia polyacantha Willd) each with about 7% of total species occurrence. Ageraa (Comberum molle R. Br. Ex G.Don) constituting about 5.5% of the total frequency of species followed these. Ansisiwa (Albizia malacophylla(A. Rich.) Walp), Banja (Cordia africana Lam.) and Dhoha (Tamarindus indica L), each with about 3.5% of the total was the next abundant species. By comparison, Sigah (Anogeissus leiocarpa (A. DC) Guill.&Perr) with about 3.2%, Ebeya and Gaba (Heliotropium steudneri Vatke) each with about 2.3%, Gediya-1 (Grewia mollis A.Juss) with 2.9%and Gediya-2(Grewia velutina (Forssk.) Vahl) with 2%were the least abundant but better than Shanduka (Terminalia laxiflora Engl. & Diels) species.

Figure-4. Percent distribution of tree species identified on farm plots.

Source: Researcher’s field survey, 2016.

3.3. Pattern of Tree Abundance

Pattern of abundance of trees and their species was analyzed in terms of the indicators. Density, diversity and composition are indicators of abundance analyzed and presented in this paper. The spatial and ethno-cultural arrangements of these indicators (i.e. patterns) were therefore thoroughly analyzed as follows.

3.3.1. Density Pattern of Trees and their Species

According to Table 3, the overall density of trees was 3.82ha-1 with STD of 3.26ha-1 and that of tree species was 2.68ha-1 with STD of 1.86. Figure 2 also shows there was variation in the average density among tree species and families. There were also variations in the density of trees and their species by, radial distances which is an indicator of spatial pattern and, ethno-culture groups.

Table-3. Spatial distribution (i.e. pattern) of trees and their species.
  Item
RD
Other parameters
Density (stem/ha)
No.
%
Min.
Max.
Ave.
STD
Trees
RD1
113
32.84
3
13
3.77
3.19
RD2
115
33.43
3
13
3.83
3.24
RD3
116
33.73
2
14
3.87
3.33
Total
344
100.00
2
14
3.82
3.26
Tree species
RD1
66
32.35
2
8
2.20
1.92
RD2
70
34.32
2
9
2.33
2.25
RD3
68
33.33
2
8
2.27
2.04
Total
204
100.00
2
9
2.68
1.86

Source: Researcher’s field survey, 2016.

The result in Table 3 shows that the average density of trees on farms was 3.77ha−1 with STD of 3.19ha−1 in RD1, 3.83ha−1 with STD of 3.24ha−1 in RD2, and 3.87 ha−1 with STD of 3.33ha−1 in RD3. Similarly, as shown in Figure 4, there was variation in the density of tree species across the three radial distances Figure 4. The density of tree species was 2.20ha−1 in RD1, 2.33ha−1 in RD2 and 2.27ha−1 in RD3. On average, Agaha (Acacia sieberiana var. woodii), Beguha (Terminalia macroptera Guill & Perr) and Baroha (Croton macrostachys) and, each with density of 0.50ha-1 were the densest species in RD1, RD2 and RD3 respectively. In general, Hafa (Terminalia brownii Fresen) with density ranging between 0.33ha−1 and 0.475ha−1 was moderately dense in all radial distances. Similarly, in addition to Agaha, Beguha,  Baroha andand Hafa, Ageraa (Comberum molle R. Br. Ex G.Don), Fuqa (Ficus sycomorus L), Bulumtsee (Syzygium guineense (Willd.) DC), Sipe (Acacia polyacantha Willd.) and Bambutta (Annona senegalensis Pers), allwith density of almost 0.20ha-1 and more were also moderately dense species in RD1, RD2 and RD3. On the other hand, the remaining species with density of 0.20ha-1 and less were characterized by a relatively lower density in all radial distances.

Figure-5. Spatial pattern of tree species as measured in terms of radial distances.

Source: Researcher’s field survey, 2016.

Density also varied by ethno-culture group. Earlier it is indicated that the overall tree density for the surveyed farm plots was 3.82ha−1 with STD of 3.26ha−1 and that of tree species was 2.68ha−1 with STD of 1.86ha−1. According to Table 4, the distribution by ethno-culture shows that the average tree density was 3.70ha−1 with STD of 3.27ha−1 on the farm plots of indigenous group and 4.047ha−1 with STD of 3.21ha−1 on farm plots of the non-indigenous group.

Table-4. Distribution of trees and their species by ethno-culture group.
Item
Ethno-culture category
  Other parameters
Density (stem/ha)
No.
%
Min
Max
Ave.
STD
Trees
Indigenous
222
64.5
2
14
3.70
3.27
Non-indigenous
122
35.5
5
13
4.07
3.21
Both
344
100.00
2
14
3.82
3.26
Tree species
Indigenous
129
63.2
2
9
2.15
2.02
Non-indigenous
75
36.8
2
8
2.50
1.93
Both
204
100.00
2
9
2.68
1.86

Source: Researcher’s field survey, 2016.

Likewise, Table 4 shows that the average density of tree species was 2.15ha−1 with STD of 2.02 ha−1 on farm plots of indigenous and 2.50ha−1 with STD of 1.93ha−1 on farm plots of non-indigenous ethno-culture group.

According to Figure 5, observation of the pattern of density of each tree species shows differences between the two ethno-cultures. In general, Beguha (Terminalia macroptera Guill & Perr), Hafa (Terminalia brownii Fresen), Baroha (Croton macrostachys), Sipe (Acacia polyacantha Willd.), Agaha (Acacia sieberiana var. woodii) and Bambutta (Annona senegalensis Pers) had high density on the farm plots of both ethno-culture groups. Close observation however shows that there was difference in the densities of the tree species between the two groups. The densest species on the farm plots of the indigenous ethno-culture group were Beguha with density of 0.42ha-1followed by Baroha with density of 0.40ha−1, Hafa with 0.35ha−1, Fuqa (Ficus sycomorus L) with 0.33ha−1and Bulumtsee (Syzygium guineense (Willd.) DC) with 0.27ha−1. 0.40ha−1, 0.43ha−1 and 0.40ha−1 respectively. The remaining species were characterized by low density with 2.00ha−1 and less for this ethno-culture group. On the other hand, Hafa with density of 0.53ha−1 was the densest species on the farm plots of the Non-indigenous group followed by Beguha with 0.43ha−1, and Baroha, Sipe, Agaha and Bambutta each with 0.40ha−1. In similar fashion, the remaining species had low density of 2.00ha−1and less for this group.

Figure-6. Ethno-cultural pattern of tree species density

Source: Researcher’s field survey, 2016.

3.3.2. Pattern of Tree Species Diversity

In addition to the spatial and ethno-cultural arrangements, the analysis of pattern of diversity is extended to the family in which each tree species belongs to. The analysis of diversity pattern by family involves categorizing tree species under respective family. The analysis of spatial and ethno-cultural patterns involves the presentation of the distribution of trees and their species by the radial distances and ethno-culture groups.

The results in Table 2 and Figure 2 and 3 show that there are 19 tree species that belong to 7 families respectively. The result in Table 3 shows that the largest STD (i.e. 2.25) was found in RD2 followed by RD3 (STD = 2.04) and RD1 (STD = 1.92). This means that the deviation of the number of tree species per hectare from the mean was high in RD2 showing greatest diversity. In other words, species diversity was more in RD2 and RD3 than in RD1. The analysis of ethno-cultural pattern of species diversity (Table 3) also shows that tree species were more diverse on farm plots of the indigenous ethno-culture group (STD = 2.02) than the non-indigenous group (STD = 1.93).

3.3.3. Pattern of Composition of Tree Species and Family

In Table 2, it has already been shown that trees on the surveyed farm plots were composed of 19 species that belong to 7 families as indicated in Figure 2 and 3. The result in Table 3 shows that almost 33%, 33% and 34% of trees were recorded in RD1, RD2 and RD3 respectively.

Likewise, 32.4%, 34.3% and 33.3% of the tree species that were recorded on the surveyed farm plots belong to RD1, RD2 and RD3 respectively. The result in Table 4 on pattern of composition by ethno-culture also shows that 64.5% and 35.5% of the trees that were recorded on the surveyed farm plots belong to indigenous and non-indigenous groups respectively. Similarly 63% and 37% of tree species that were recorded on the surveyed farm plots belong to the indigenous and non-indigenous groups respectively.

The result in Figure 3 shows the proportion of tree species that belongs to 7 families. Most of the tree species (31.6%) belong to Fabaceae family followed by Combretaceae (26.3%), Boraginaceae, Moraceae and tiliaceae (10.5% each), Annonaceae and myrtaceae (5.3% each) families. The result in Table 5 also shows that Fabaceae which constituted 35.5% of the total frequency of occurrence in all radial distances was the most abundant family followed by combretaceae (24.1%). Annonaceae and Moraceae, each with 12.1% of occurrence were the third abundant species whereas Myrtaceae (9.9%) an, Tiliaceae (9.2%) and Borginaceae (7.1%) were the next abundant families. As shown in Table 5 a close observation of the composition of tree families shows that there were variations in the proportion of families across space and ethno-culture group. 

Table-5. Spatial pattern of composition of tree family.
Tree
Family
RD1
RD2
RD3
All
No
%
Ave
No
%
Ave
No
%
Ave
No
%
Ave
Annonac
9
52.9
0.3
6
35.3
0.20
2
11.8
0.07
17
12.1
0.19
Boraginac
4
40.0
0.13
2
20.0
0.07
4
40.0
0.13
10
7.1
0.11
Combretac
8
23.6
0.27
13
38.2
0.43
13
38.2
0.43
34
24.1
0.38
Fabac
12
33.3
0.4
11
30.6
0.37
13
36.1
0.43
36
25.5
0.40
Morac
7
41.2
0.23
5
29.4
0.16
5
29.4
0.12
17
12.1
0.19
Myrtac
3
21.4
0.1
6
42.9
0.20
5
35.7
0.12
14
9.9
0.16
Tiliac
4
30.8
0.14
4
30.8
0.13
5
38.4
0.12
13
9.2
0.14
Total
47
33.3
1.57
47
33.3
1.57
47
33.3
1.57
141
100
1.57
STD
1.39
1.47
1.40
1.42

Source: Researcher’s field survey, 2016.

The result in Table 5 shows that there were variations in the composition of tree families across space, an indicator of spatial pattern of tree families, and between the two ethno-culture groups. Seven of the tree families were identified in all radial distances but in different composition. Annonaceae family was the most abundant in RD1 constituting about 53% of all families as compared to 35%  in RD2 and 12% in RD3 (35%).  Boraginaceae family was more abundant family constituting 40% of all families counted in RD1 and RD3 each than in RD2 which constituted 20% of the families. The share of Combretaceae was more in RD2 and RD3 each with about 38% than RD1 in which its share was about 24%.  Fabaceae (36%) was most abundant in RD3 than in RD1 (33%) and RD2 (31%). Moraceae (41%) was most abundant in RD1 than in RD2 and RD3 each being composed of 29%. Myrtaceae (43%) was more abundant family in RD2 than in RD1 and RD3, each constituting about 22% and 36% of the total number of families. Lastly Tiliaceae with almost 39% was more abundant family in RD3 than in RD1 and RD2, each with about 31% of the total number of families. Likewise, there were also differences in the composition of tree family between the two ethno-culture groups.

The result in Table 6 show that the largest proportion (88%) of Annonaceae was more abundant family on farm lands of the indigenous ethno-culture group than in non-indigenous ethno-culture group where it made up 12% of the family composition. Borginaceae family was more abundant (8.5%) on farmlands of the non-indigenous group than on farms of the indigenous group where it constituted 6.4% of the tree family abundance. Combretaceae family was more abundant (68%) on farms of indigenous ethno-culture group than on farms of the non-indigenous group where it forms 32% of the total tree families. Similarly, Fabaceae was dominant (64%) on the farmlands of the indigenous ethno-culture group than that of the non-indigenous group with 36% of the total number of families. Moraceae, Myrtaceae, and Tiliaceae followed the same pattern. About 71% and 29% of Moraceae, 64% and 36% of Myrtaceae, and 65.5% and 38.5% of Tiliaceae tree families were found in the indigenous and non-indigenous ethno-culture groups respectively.

Table-6. Spatial distribution (i.e. pattern) of tree family composition.
Tree
Family
Indigenous
Non-indigenous
Both (N = 141)
No
%
Ave
No
%
Ave
No
%
Ave
Annonaceae
15
88.2
0.25
2
11.8
0.07
17
12.1
0.19
Boraginaceae
6
6.4
0.10
4
8.5
0.10
10
7.1
0.11
Combretaceae
21
61.8
0.35
13
38.2
0.43
34
24.1
0.38
Fabaceae
23
63.9
0.38
13
36.1
0.43
36
25.5
0.40
Moraceae
12
70.6
0.20
5
29.4
0.17
17
12.1
0.19
Myrtaceae
9
64.3
0.15
5
35.7
0.17
14
9.9
0.16
Tiliaceae
8
61.5
0.13
5
38.5
0.17
13
9.2
0.14
Total
94
66.7
1.57
47
33.3
1.57
141
100
1.57
STD
1.43
1.39
1.42

Source: Researcher’s field survey, 2016.

4. DISCUSSION

4.1. Tree Retention on the Farms of Smallholders

The results of the study provide strong evidence of traditional tree retention practices undertaken on the farms of smallholders in the greener belt of Ethiopia. Although there were spatial and ethno-cultural variations in the indicators of tree abundance, farmer had retained trees on their farms and maintained them despite increasing pressure of population and the resulting fragmentation of farm lands and shortening of fallow periods in this part of the country.

As presented in Table 2 and Figure 2 and 3, overall 19 species of trees that belong to 7 families were identified on the surveyed farms. This is significant number as compared to 88 tree species that are identified in vegetation of BGR in its natural setting [24], a region located in the greener belt of Ethiopia.  On average 3.82 trees per hectare (min = 2 & max = 14) were retained on the surveyed farm plots.  Similarly, according to Table 1 2.68 tree species per hectare (min = 2 & max = 9) were identified on the farms.

This culture of practicing tree retention in the greener belt of Ethiopia goes with most literature at local and international levels. The practice of retention of trees in agroforestry systems in Zimbabwe is documented by Campbell, et al. [27]. In Nigeria, considerable proportion of farmers were found to have retained forest trees on their farms during land clearance recognizing tree retention as a priority activity [13]. Furthermore, the necessity of retaining trees in farming systems during land clearance for agriculture is recommended by Leakey [22]. A previous empirical literature conduced in the traditional agroforestry systems of Zimbabwe [27], Tonga kingdom [28] and Indonesia [10] documented the practice of tree retention by smallholder farmers. Moreover, the results go with a study conducted in the coffee farming systems of Costa Rica that reports the retention of trees on farms to shade coffee plants [8].

Likewise, the findings are in line with a study conducted in the greener part of Ethiopia that documented the practice of tree retention on crop farms by stallholders of Chewaka district [29]. Thus, tree retention practiced in the study area is consistent with the general trend in man’s interest in in-situ conservation of trees and biodiversity while struggling to meet their basic needs. The farmers of the greener belt of Ethiopia have been maintained the culture and practice of tree retention on their farms despite variations that exist among areas, individual farmers and ethno-culture groups.

4.2. Abundance of Trees and their Species on Farms of Smallholders

The density, diversity and composition of trees in agroecosystems are generally less than in natural forest ecosystems. The average density of all trees recorded from the surveyed farms was 3.82ha-1 (STD = 1.92) and that of tree species and family were 2.68ha-1 (STD = 1.86) and 1.57ha-1 (STD = 1.42) respectively. The differences in the level of these indicators of tree abundance were in line with the general literature. For example, a study shows that specific species of trees and plants are valued by a specific culture showing differences in their preferences [13]. In western Baikiaea woodlands, there is lack of species of Acacia erioloba, Terminalia sericea and Combretum species implying that different species most represent differently in different tree communities [13]. In contrast, as shown in Figure 4 the present study shows that Terminalia macroptera Guill. & Perr and Terminalia brownii Fresen are the most abundant species that frequently occurred on the surveyed farm plots.

In terms of tree family density, as shown in Figure 2 on average Fabaceae family was found the most important as it had the highest density on the surveyed farms followed by Combretaceae family. This is almost similar with a study conducted in the agroforestry systems of Zimbabwe where Acacia Albida, one of the species which belongs to Fabaceae, was important species in the field [27].

Although crop farms are aspects of human ecological systems where significant interference of man occurs [20], the number of tree species retained and preserved on farms of the greener belt of Ethiopia was considerable even as compared to the number of species identified in some forests in their natural settings and agroecosystems. The present study as revealed in Table 2 identified 19 tree species with average density of 2.68ha-1 on the surveyed crop farms of smallholders in the greener part of Ethiopia. This shows that tree species are more abundant (dense and diverse) on the crop farms than the traditional agroforestry (arable and pastoral) systems where only 22 tree species that are grouped under 14 families with tree stand density of 0.12ha-1 were documented [30]. Moreover, the tree species found in the present study are considerably diverse as compared to 88 tree species identified in the forests of the greener part of Ethiopia in their natural setting [24] as the current study was conducted on crop farms.

At international level, this number is significant as compared to some areas where studies are conducted on natural forests. For example, southern Africa, similar figure (19 tree species) was identified over extensive areas of wood land showing a very negligible density of tree species [14]. In Central Vietnam, however, too many species, i.e. 172 tree species with density of 94ha-1 were identified in natural forests [5]. Thus, the fact that trees on farms of smallholders in the greener part of Ethiopia were composed of considerable number of species and families and were dense and diverse enough is consistent with general literature showing that people have maintained the culture of tree retention and conservation of species on farms despite increasing trend of land fragmentation due to population pressure.

The overall exercise implies that farmers have in-situ knowledge of the environmental, ecological and economic benefits of trees stated by different authors [8, 11, 12, 14] . Farmers selectively kept trees alive in their farms. However, the density of trees and their species tended to have been declining from time to time.  This could be attributed to a number of factors [29].  For example, farmers may clear all trees from the plots due to the danger of shading the crops 13]. However, in most cases, farmers retain and preserve selected tree species on their farms, and this is true in the greener belt of Ethiopia. Trees are therefore made abundant in the study area despite increasing rate of land fragmentation. This is partly consistent the finding [5] that despite long-term anthropogenic influences, remnant forests in the lowlands of Vietnam can harbor high plant biodiversity, including many endangered species.

4.3. Spatial Pattern of Tree Abundance on Farms of Smallholder

As shown in Table 3, the results of the spatial pattern of tree abundance fall in the range of literature. Generally the density, diversity and composition of trees and their species increased from RD1 (near village center) through RD2 to RD3. This is consistent with the observation that forest composition and density gets lower as one moves outward from the center of greatest interference of human population [14]. This is due to the fact that human interference in forest trees through agriculture is greater at the center than at the outskirt. Another literature indicates that anthropogenic influences cause species reduction in areas where such influences are immense in lowlands of Vietnam [14].

According to Table 3, the pattern of species diversity did not keep a straight line in the study area as it was high in RD2 followed by RD3 and then to RD1. In theory, trees and their species should be more abundant in the center of human concentration and decline outwards from RD1 through RD2 to RD3. The present finding as seen from Table 3 contradicts this truth, the reason being the topic of future research. Although their difference is narrow, outward pattern of composition of trees and their species from RD1 through RD2 to RD3 is generally maintained in the study area. The narrow difference goes with the finding in the western Baikiaea where the woodland did not show large variations in species composition [14]. The analysis of pattern of tree family shown in Table 5 shows a mixed result. Some of the tree families were more abundant in RD1 than RD2 and RD3. Others are more abundant, in RD2 than RD1 and RD3 and, in RD3 than RD1 and RD2.  This happens perhaps due to farmers’ preference of one tree family to another which in turn might depend on the relative role of each tree family in people’s life. This is similar to the statement that farmers make choices among tree species in accordance with their relative advantages or benefits [8], which might be true in the greener belt of Ethiopia.

4.4. Pattern of Tree Abundance on Smallholder Farms and Ethno-Culture

Literature regarding ethno-culture approach to the study of forest ecosystem is very scanty. But, the application of this approach especially in the study of human ecological systems such as the one in this paper is essential. This approach is used to understand if there existed differences between the indigenous and non-indigenous ethno-culture groups in gathering and consuming forest foods in greener belt of Ethiopia [2]. This concept is extended to analyzing and understanding the characteristics of trees on farms in this paper.

In Table 4, the average density of trees was higher on the farms of indigenous than on the farms of non-indigenous ethno-culture groups. This is consistent with the prior assumption that trees are denser on farms of the indigenous than on the non-indigenous ethno-culture group. However as opposed to the assumption that tree species are denser on farms of the indigenous than the non-indigenous ethno-culture group, it was denser on the farms of the later than the former. In line with the researcher’s expectation, the composition of trees and their species was higher on farms of indigenous than on the non-indigenous ethno-culture groups.

The finding of the distribution of tree families and species by ethno-culture, as shown in Table 5 goes in line with the prior expectation. More tree families were identified on the farms of the indigenous than on the non-indigenous ethno-culture group. The variation in the distribution of trees by ethno-culture group reflects itself into the variations in the cultural experience and background of the farmers [2]. This informs the need for research into ethno-cultural variables in retention and conservation of trees on farms.  

5. CONCLUSION

The future health of forest ecosystem is greatly dependent on men’s knowledge of the environmental, ecological and economic benefits of forests and their commitment to conserve forests. Agricultural lands, especially crop fields, are where human impacts on forests are the greatest despite the involvement of different cultural groups in the practice of tree retention on farms. The main objective of this study was to understand the pattern of tree abundance on farms of smallholders in the greener belt of Ethiopia. Smallholder farmers have kept trees alive selectively on their farms although the density, diversity and composition of trees tended to decline over the past two or more decades. The study identified 19 tree species that belong to 7 families on sample farms. Generally, species under Fabaceae and Combretaceae families were the most abundant on the farms. The spatial pattern of abundance of trees across different radial distances assumed the general literature as tree abundance was generally lower at or near the centers of great human interferences in farm trees and got higher gradually as one moves outwards.  In line with the general trend in the culture of tree retention and conservation on farms in Ethiopia, trees were more abundant on the farms of indigenous ethno-culture group than on that of the non-indigenous group. Pattern of specific tree species and family on spatial scale was mixed. Abundance of some tree species and families declined from center outwards while others did not follow this pattern. Pattern of abundance by ethno-culture was uniform for almost all families of trees. All families were more abundant on farms of the indigenous than the non-indigenous ethno-culture groups.  In general, despite relatively low level of abundance, the results imply that there was in situ conservation of forest trees and their species on farms during land clearance and cropping practices.

6.ACKNOWLEDGEMENTS

I acknowledge all the owners of the farms in the study area for allowing me to repeatedly visit and conduct the survey in the field. My deepest thanks goes to Mr. Getachew and Mr. Temesgen (both being professors of English as foreign language) for their contribution through critical review and editing of the language.

REFERENCES

[1]          M. L. Ermias, Z. Asfaw, E. Kelbessa, and P. Van Damme, "Wild edible plants in Ethiopia: A review on their potential to combat food insecurity," Afrika Focus, vol. 24, pp. 71-121, 2011. Available at: https://doi.org/10.21825/af.v24i2.4998.

[2]          D. F. Guyu and W.-T. Muluneh, "Wild foods (plants and animals) in the green famine belt of Ethiopia: Do they contribute to household resilience to seasonal food insecurity?," Forest Ecosystems, vol. 1, pp. 1-12, 2015. Available at: https://doi.org/10.1186/s40663-015-0058-z.

[3]          B. Vinceti, C. Termote, A. Ickowitz, B. Powell, K. Kehlenbeck, and D. Hunter, "The contribution of forests and trees to sustainable diets," Sustainability, vol. 5, pp. 4797-4824, 2013. Available at: https://doi.org/10.3390/su5114797.

[4]          A. Weiskittel, C. Kuehne, J. P. McTague, and M. Oppenheimer, "Development and evaluation of an individual tree growth and yield model for the mixed species forest of the Adirondacks Region of New York, USA," Forest Ecosystems, vol. 3, pp. 1-17, 2016. Available at: https://doi.org/10.1186/s40663-016-0086-3.

[5]          Y. T. Van and R. Cochard, "Tree species diversity and utilities in a contracting lowland hillside rainforest fragment in Central Vietnam," Forest Ecosystems, vol. 4, pp. 1-19, 2017. Available at: https://doi.org/10.1186/s40663-017-0095-x.

[6]          L. Balčiauskas, A. Čepukienė, and L. Balčiauskienė, "Small mammal community response to early meadow–forest succession," Forest Ecosystems, vol. 4, pp. 1-10, 2017. Available at: https://doi.org/10.1186/s40663-017-0099-6.

[7]          J. Beer, R. Muschler, D. Kass, and E. Somarriba, "Shade management in coffee and cacao plantations," Agroforestry Systems, vol. 38, pp. 139–164, 1998.

[8]          A. Albertin and P. Nair, "Farmers' perspectives on the role of shade trees in coffee production systems: An assessment from the Nicoya Peninsula, Costa Rica," Human Ecology, vol. 32, pp. 443-463, 2004. Available at: https://doi.org/10.1023/b:huec.0000043515.84334.76.

[9]          J. Mutua, J. Muriuki, P. Gachie, M. Bourne, and J. Capis, "Conservation agriculture with trees: Principles and practice: A simplified guide for extension staff and farmers," Technical Manual No. 21, World Agroforestry Center, (ICRAF) Nairobi, Kenya, 2014.

[10]        S. A. Rahman, T. Sunderland, J. M. Roshetko, I. Basuki, and J. R. Healey, "Tree culture of smallholder farmers practicing agroforestry in Gunung Salak Valley, West Java, Indonesia," Small-Scale Forestry, vol. 15, pp. 433-442, 2016. Available at: https://doi.org/10.1007/s11842-016-9331-4.

[11]        K. V. Gadow, G. Zhang, G. Durrheim, D. Drew, and A. Seydack, "Diversity and production in an afromontane forest," Forest Ecosystems, vol. 3, pp. 1-12, 2016. Available at: https://doi.org/10.1186/s40663-016-0074-7.

[12]        W. Zgłobicki, L. Gawrysiak, B. Baran-Zgłobicka, and M. Telecka, "Long-term forest cover changes, within an agricultural region, in relation to environmental variables, Lubelskie province, Eastern Poland," Environmental Earth Sciences, vol. 75, pp. 1-12, 2016. Available at: https://doi.org/10.1007/s12665-016-6195-z.

[13]        A. Ajake, "The role of forest trees in indigenous farming systems as catalyst for forest resources management in the rural villages of Cross River State, Nigeria," Global Journal of Human Social Sciences, Geography and Environmental Geosciences, vol. 12, pp. 13-24, 2012.

[14]        V. De Cauwer, C. J. Geldenhuys, R. Aerts, M. Kabajani, and B. Muys, "Patterns of forest composition and their long term environmental drivers in the tropical dry forest transition zone of Southern Africa," Forest Ecosystems, vol. 3, pp. 1-12, 2016. Available at: https://doi.org/10.1186/s40663-016-0080-9.

[15]        J. L. Chamberlain, D. Mitchell, T. Brigham, T. Hobby, L. Zabek, and J. Davis, Forest farming practices. In: Garrett H.E. (Ed.), North American Agroforestry: An Integrated Science and Practice, 2nd ed. Segoe Rd., Madison, WI 53711, USA: American Society of Agronomy, 677 S, 2009.

[16]        T. Flatie, T. Gedif, K. Asres, and T. Gebre-Mariam, "Ethnomedical survey of Berta ethnic group Assosa Zone, Benishangul-Gumuz regional state, mid-West Ethiopia," Journal of Ethnobiology and Ethnomedicine, vol. 5, pp. 14-14, 2009. Available at: https://doi.org/10.1186/1746-4269-5-14.

[17]        D. Salt, D. Lindenmayer, and R. Hobbs, "Trees and biodiversity," A Guide for Australian Farm Forestry. Murdoch University & Australian National University, RIRDC Publication. Number: 03/047, Joint Venture Agroforestry Program, 2004.

[18]        S. K. Tewari, Farm forestry: Agro-forestry. Agro-forestry project. Pantnagar, India: G.B. Pant University of Agriculture and Technology, 2008.

[19]        B. Brahma, G. W. Sileshi, A. J. Nath, and A. K. Das, "Development and evaluation of robust tree biomass equations for rubber tree (Hevea brasiliensis) plantations in India," Forest Ecosystems, vol. 4, pp. 1-10, 2017. Available at: https://doi.org/10.1186/s40663-017-0101-3.

[20]        R. J. Zomer, A. Trabucco, R. Coe, F. Place, M. Van Noordwijk, and J. Xu, "Trees on farms: an update and reanalysis of agroforestry’s global extent and socio-ecological characteristics," World Agroforestry Center Working Paper No. 179, 2014.

[21]        M. Ngrsquo, D. Catacutan, J. Kungrsquo, J. Muriuki, J. Kariuki, and J. Mowo, "The policy environment of conservation agriculture with trees (CAWT) in Eastern Kenya: Do small scale farmers benefit from existing policy incentives?," African Journal of Agricultural Research, vol. 8, pp. 2924-2939, 2013.

[22]        R. R. Leakey, "Should we be growing more trees on farms to enhance the sustainability of agriculture and increase resilience to climate change," Special Report, ISTF News, USA2010.

[23]        P. R. Nair, "The coming of age of agroforestry," Journal of the Science of Food and Agriculture, vol. 87, pp. 1613-1619, 2007. Available at: https://doi.org/10.1002/jsfa.2897.

[24]        A. Tesfaye, "Plant diversity in Western Ethiopia: Ecology, ethnobotany and conservation," PhD Dissertation, University of Oslo, Norway, 2007.

[25]        G. F. Daie, "Ethno-culture disparity in food insecurity status: The case of Bullen District, Benishangul-Gumuz Regional State, Ethiopia," African Journal of Food Science, vol. 8, pp. 54-63, 2014. Available at: https://doi.org/10.5897/ajfs2013.1096.

[26]        F. Guyu, "Household vulnerability to green famine: Component based analysis of indicators in Belo-jiganfoy District (Case Study Area), Benishangul-Gumuz Region, Ethiopia," Applied Science Reports, vol. 9, pp. 139-156, 2015. Available at: https://doi.org/10.15192/pscp.asr.2015.9.3.139156.

[27]        B. M. Campbell, J. Clarke, and D. Gumbo, "Traditional agroforestry practices in Zimbabwe," Agroforestry Systems, vol. 14, pp. 99-111, 1991. Available at: https://doi.org/10.1007/bf00045726.

[28]        S. Makino, "Changes in traditional agroforestry systems in the Kingdom of Tonga. Oceania, FOR595d Spring," 2003.

[29]        R. Condit, R. Pérez, S. Lao, S. Aguilar, and S. P. Hubbell, "Demographic trends and climate over 35 years in the Barro Colorado 50 ha plot," Forest Ecosystems, vol. 4, pp. 1-13, 2017. Available at: https://doi.org/10.1186/s40663-017-0103-1.

[30]        G. Berhanu, "The impact of resettlement on woodland vegetation: The case of Chewaka Resettlement Area, Southwestern Ethiopia," Unpublished MA Thesis, Addis Ababa University, Ethiopia, 2007.

Online Science Publishing is not responsible or answerable for any loss, damage or liability, etc. caused in relation to/arising out of the use of the content. Any queries should be directed to the corresponding author of the article.